BR/CU-2111

Uit dev.normenkaderzorg.nl
Versie door Willie Lu (overleg | bijdragen) op 14 jan 2016 om 10:36 (Willie Lu heeft de pagina BR/CU-2111 art 11.1 hernoemd naar BR/CU-2111 zonder een doorverwijzing achter te laten)
(wijz) ← Oudere versie | Huidige versie (wijz) | Nieuwere versie → (wijz)
Naar navigatie springen Naar zoeken springen


page1

 

page2

 

page3

 

page4

 

page5

 

page6

 

page7

 

page8

 

page9

 

page10

 

page11

 

page12

 

page13

 

page14

 

page15

 

page16

 

page17

 

page18

 

page19

 

page20

 

page21

 

page22

 

page23

 

page24

 

page25

 

page26

 

page27

 

page28

 

page29

 

page30

 

page31

 

page32

 

page33

 

page34

 

page35

 

page36

 

page37

 

page38

 

page39

 

page40

 

page41

 

page42

 

page43

 

page44

 

page45

 

page46

 

page47

 

page48

 

page49

 

page50

 

page51

 

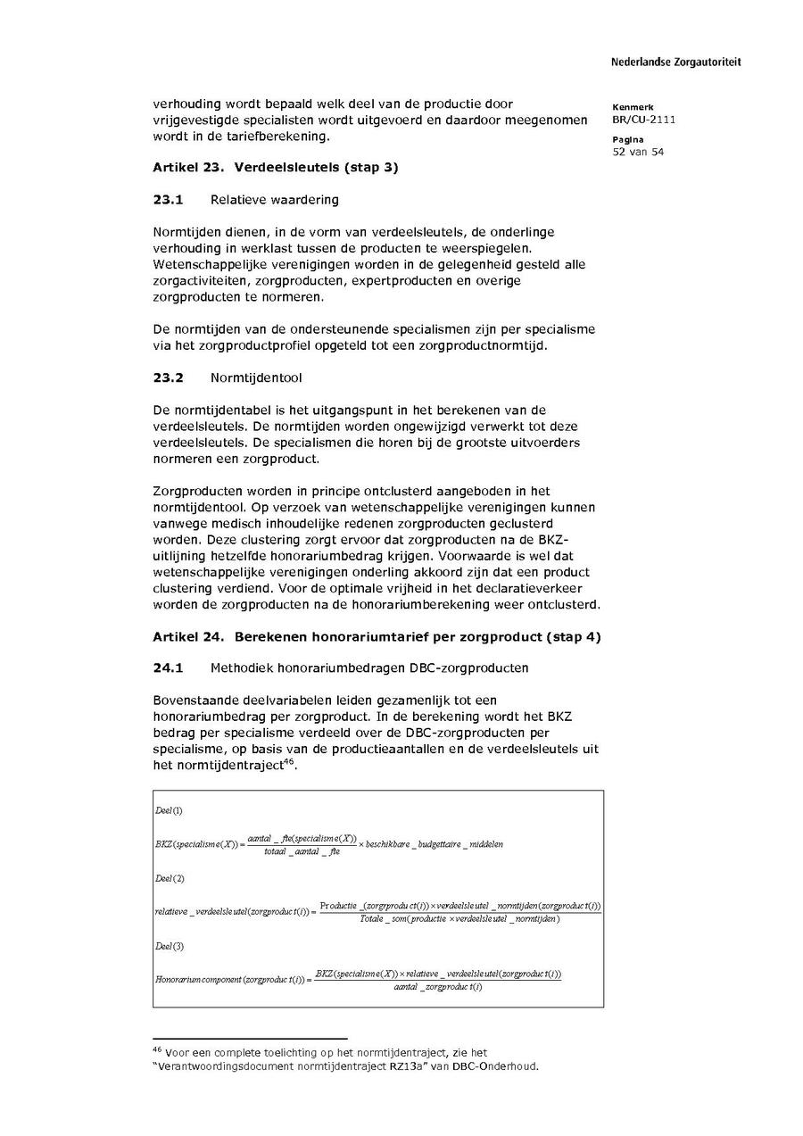
page52

 

page53

 

page54

 

page55